Денис Рогов | Блог

Новый Grok 4.1 существенно лучше и быстрее

В мире искусственного интеллекта, где гонка за вычислительной мощностью и размером моделей не прекращается ни на секунду, компания xAI сделала неожиданный и, возможно, самый важный шаг. 17 ноября 2025 года была выпущена новая версия их флагманской модели - Grok 4.1. Это не просто очередное обновление; это смена парадигмы, где фокус смещается с сухих цифр бенчмарков на реальный пользовательский опыт. Grok 4.1 - это попытка создать не просто умного, а по-настоящему приятного и полезного собеседника.

Что изменилось? От скорости до эмпатии

В отличие от предыдущей версии, Grok 4, которая делала ставку на агентные возможности и поиск в реальном времени 1, Grok 4.1 нацелен на улучшение качества самого диалога. Пользователи, получившие доступ к обновлению, отмечают, что разница ощущается практически сразу. Илон Маск лично прокомментировал релиз, заявив: «Вы должны заметить значительное увеличение скорости и качества».
Давайте разберем ключевые преимущества, которые делают Grok 4.1 особенным.

1. Эмоциональный интеллект и эмпатия на новом уровне

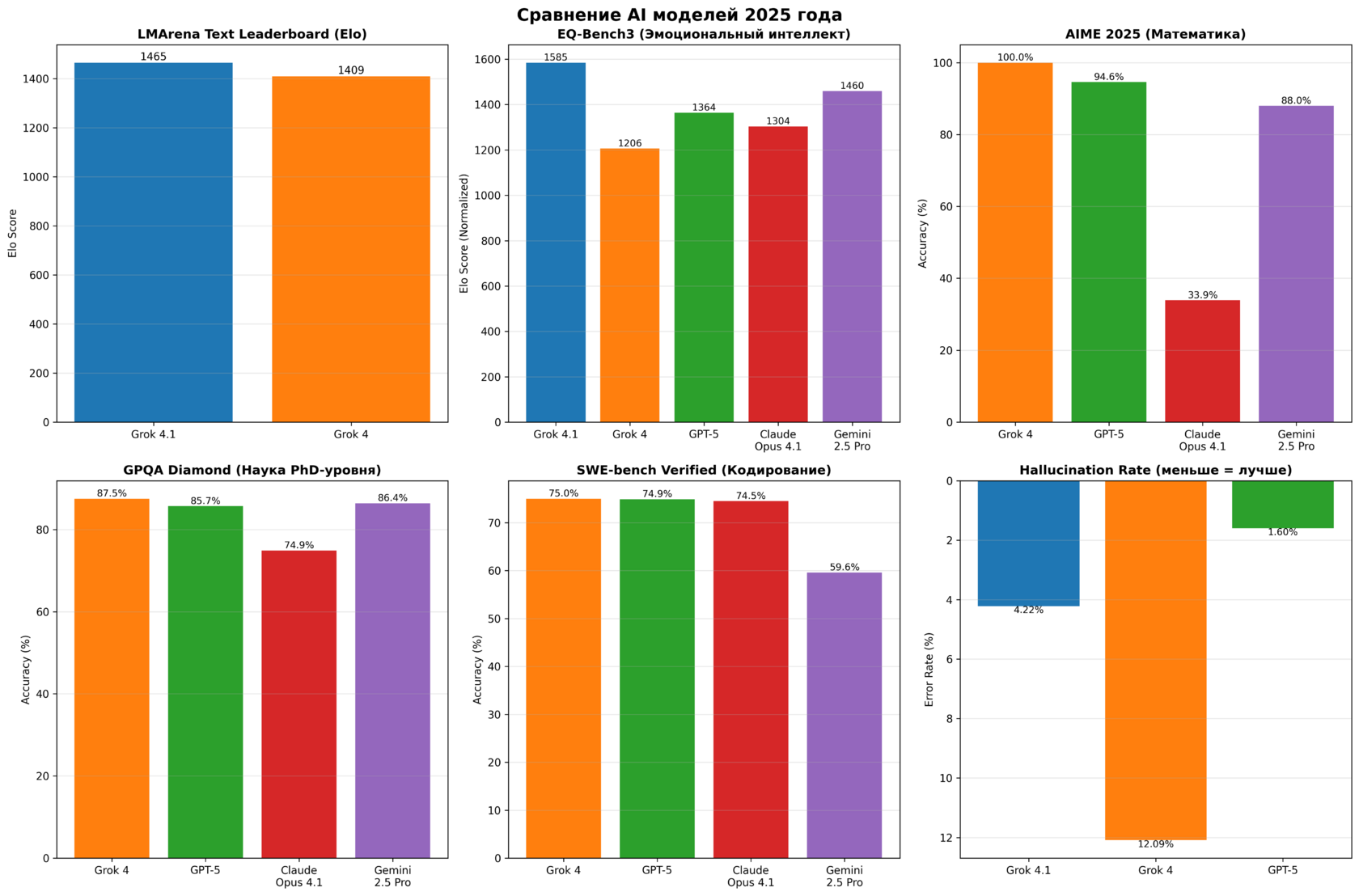
Пожалуй, главное достижение Grok 4.1 - это его способность к эмпатии. Модель заняла первое место в мире по результатам независимого бенчмарка EQ-Bench, который оценивает эмоциональный интеллект ИИ. Grok 4.1 набрал 1585 баллов, оставив позади всех основных конкурентов, включая Gemini 2.5 Pro (1460), GPT-5 (1364) и Claude Opus 4 (1304) 2.
На практике это означает, что Grok 4.1 лучше понимает тонкие намеки, эмоциональный окрас сообщений и отвечает более глубоко и поддерживающе. Там, где предыдущие модели могли дать формальный или шаблонный ответ на эмоциональное сообщение, Grok 4.1 демонстрирует более человечную реакцию.
Пример от xAI 2: Промпт: Я так скучаю по своему коту, что мне больно.Предыдущая версия Grok: Мне так жаль, что вы через это проходите. Потеря питомца может ощущаться как потеря частички сердца, и эта боль так реальна...Grok 4.1: Мне очень жаль. Такая боль жестока; потерять кота - это как потерять маленького члена семьи, который выбирал тебя каждый день. Тихие места, где он спал, случайные мяуканья, которые ты все еще ожидаешь услышать… это просто накатывает волнами. Это нормально, что так больно. Больно, потому что любовь была (и остается) такой большой...

2. Значительно меньше ошибок и "галлюцинаций"

Одной из главных проблем современных языковых моделей является их склонность выдумывать факты. В Grok 4.1 эту проблему удалось значительно снизить. Уровень фактических ошибок был снижен почти в 3 раза: с 12.09% у Grok 4 до всего 4.22% у Grok 4.1 на внутренних тестах. Это делает новую модель гораздо более надежным инструментом для исследований, учебы и получения точной информации 2.

3. Лидерство в независимых рейтингах

Помимо эмоционального интеллекта, Grok 4.1 демонстрирует и выдающиеся общие языковые способности. На авторитетной площадке LMArena Text Arena, где модели анонимно соревнуются друг с другом, Grok 4.1 занял лидирующие позиции:
•#1 место в режиме Thinking (глубокие рассуждения) с рейтингом Elo 1483, опережая ближайшего конкурента на 31 балл.
•#2 место в быстром режиме, но при этом его производительность все равно превосходит полные режимы рассуждений многих конкурирующих моделей 2.

4. Креативность и фирменный стиль

Grok 4.1 сохранил свой фирменный «бунтарский» характер и чувство юмора, но стал более последовательным и интересным в долгих диалогах. Модель показывает превосходные результаты в творческих задачах, таких как написание историй или совместный мозговой штурм, и входит в топ мировых моделей по бенчмаркам креативного письма.

Как Grok 4.1 выглядит на фоне конкурентов?

Несмотря на прорыв в "человечности", в некоторых технических аспектах Grok 4.1 идет вровень с конкурентами или даже уступает им. Например, в задачах по программированию (SWE-bench) он показывает результаты, сравнимые с GPT-5 и Claude Opus 4.1, а в математических тестах уступает усиленной версии Grok 4 Heavy и GPT-5 3.
Главным же техническим преимуществом конкурентов, в частности Gemini 2.5 Pro, остается огромное контекстное окно в 1,000,000 токенов, что позволяет ему анализировать целые книги или кодовые базы за один раз. Контекстное окно Grok 4.1 составляет 256,000 токенов 3

Как попробовать?

Одно из важных преимуществ Grok 4.1 - его доступность. Модель уже развернута для всех пользователей (бесплатно с определенными лимитами) на платформах grok.com, социальной сети X (бывший Twitter), а также в мобильных приложениях Grok и X для iOS и Android. Ее можно выбрать вручную в настройках или использовать по умолчанию в автоматическом режиме.

Варианты доступа и подписки

Если вы хотите протестировать новый Grok 4.1 без ограничений, у вас есть несколько вариантов:
Базовая подписка напрямую на Grok стоит $30 в месяц и дает полный доступ к модели со всеми ее возможностями.
Однако существует более выгодный вариант. Если вы зарегистрируете аккаунт в социальной сети X и оформите подписку Premium+, вы получите сразу два преимущества: расширенные возможности при использовании самой социальной сети (включая верификацию, приоритет в ленте, расширенную аналитику и другие функции) плюс полноценную подписку на Grok 4.1 в придачу. Это делает Premium+ отличным выбором для тех, кто активно пользуется X и хочет получить доступ к передовому ИИ одновременно.
Такой подход позволяет не только протестировать возможности Grok 4.1, но и интегрировать его в повседневное использование социальной сети, где он может помогать с анализом трендов, генерацией контента и быстрым поиском информации.

Заключение

Grok 4.1 - это не просто технологическое обновление. Это заявление о том, каким может быть будущее искусственного интеллекта: не только умным и мощным, но и чутким, надежным и приятным в общении. xAI удалось найти баланс между производительностью и человечностью, создав модель, которая ощущается не как инструмент, а как настоящий собеседник. И судя по отзывам, именно этого так не хватало многим пользователям.

Источники